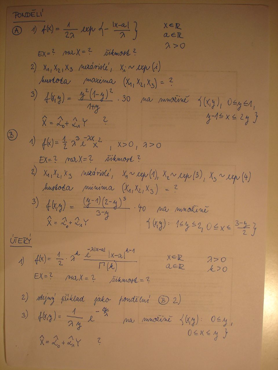
+get/+3bc50a6b-b631-430d-a268-25723a2309b8/Forum%20archiv/Attachments/statistika.jpg