NOFY142 Lineárna algebra 2
Skriptá a materiály
Stránka doktora Šmída - odkazy na skriptá, domáce úlohy, učebné materiály...
Záloha starých Šmídových skript - 2019/20 - Download NOFY142/LAF1920-skripta.pdf.
Skriptá a materiály (jiné zdroje)
Všeobecné
Najveselší a najfarebnejší text na lingebru
Někomu by možná mohlo přijít zajímavé tohle. Jsou to knihovny k Lingebře, Matalýze a Diskrétce (v Pythonu). Dobře se s tím ověřují úkoly (hlavně z lingebry, kde to umí determinanty, inversy, semi-definitnost, ortogonalizaci...).
Jednotlivé témy
KVADRATICKÉ PLOCHY a jejich reprezentace v programu Maple -priamy odkaz na knihu- je tam aj teória ku kvadratickým plochám, nielen príklady v Maple
Taháčky pro zápočtový test
| Size | Timestamp | Name |
| 902185 | 2020-05-26 12:36:04 | Kučírek_taháček.pdf |
| 505829 | 2021-03-24 12:11:44 | TAHÁČEK.png |
| 1440293 | 2024-06-21 11:19:32 | Zdroj1.jpg |
| 1320415 | 2021-04-28 00:28:34 | taháček.png |
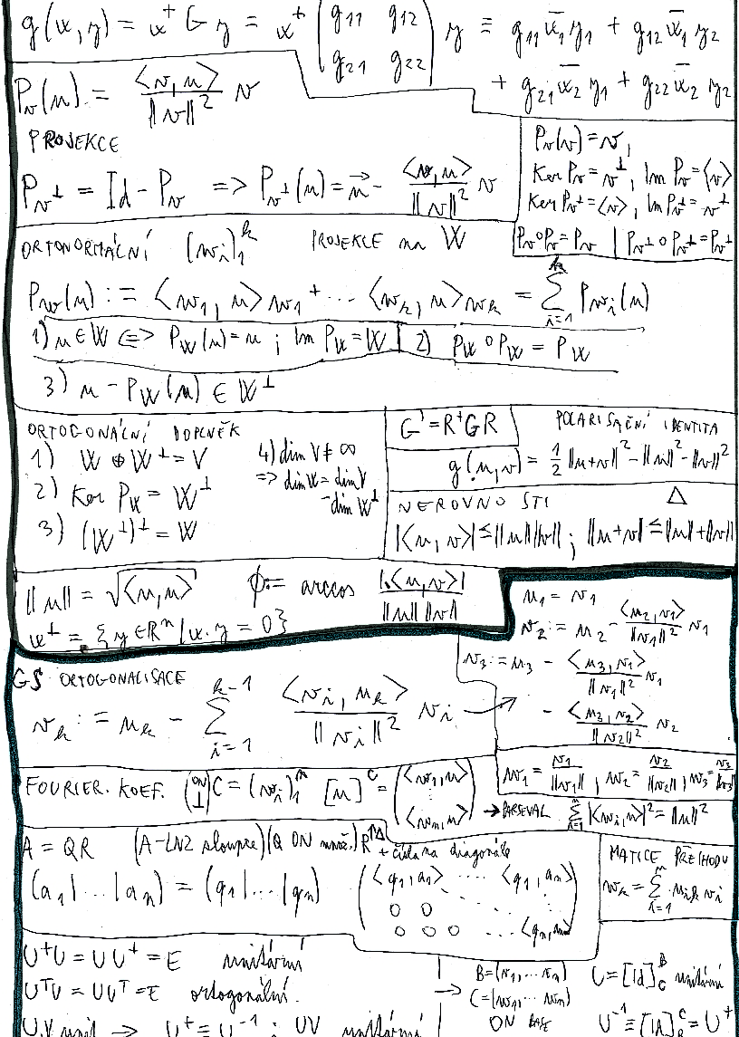
Anki kartičky - příprava ke zkoušce
| Size | Timestamp | Name |
| 854616 | 2021-09-14 18:26:46 | T1 - skalární součin.apkg |
| 145690 | 2021-09-14 18:27:14 | T2 - Ortogonalisace.apkg |
| 368296 | 2021-09-14 18:27:54 | T3 - Ortogonální diagonalisace.apkg |
| 424793 | 2021-09-14 18:28:14 | T4 - Singulární rozklad.apkg |
| 441989 | 2021-09-14 18:28:38 | T5 - Kvadratické formy.apkg |
| 5337697 | 2021-09-14 18:29:02 | T6 - Kvadriky.apkg |
| 430304 | 2021-09-14 18:29:24 | T7 - Jordanův tvar.apkg |
| 282033 | 2021-09-14 18:30:26 | T8 - Exponenciála.apkg |
| 682468 | 2021-09-14 18:30:20 | T9 - Tensory 1.apkg |
| 370472 | 2021-09-14 18:33:20 | Z10 - Tensory 2.apkg |
| 178591 | 2021-09-14 18:33:40 | Z11 - Pozdní sběr.apkg |
Archívy prednášajúcich a cvičiacich, ktorí niekedy cvičili a/alebo prednášali LA I a/alebo LA II
Archiv M. Ziky
Size Timestamp Name 1071260 2021-06-29 21:47:42 LAproFII__10_(Exponenciala).pdf 1011500 2021-06-29 21:48:14 LAproFII__2_(Ortogonalni_projekce)(1).pdf 1011500 2021-06-29 21:48:12 LAproFII__2_(Ortogonalni_projekce).pdf 1858674 2021-06-29 21:48:14 LAproFII__3_(Ortogonalizace).pdf 919315 2021-06-29 21:48:08 LAproFII__4_(Ortogonalni_diagonalizace).pdf 828127 2021-06-29 21:48:04 LAproFII__5_(Matice_OG_Projekci).pdf 817763 2021-06-29 21:48:02 LAproFII__5b_(Matice_jako_grafy).pdf 1998126 2021-06-29 21:48:00 LAproFII__6_(Singularni_rozklad).pdf 1014390 2021-06-29 21:47:56 LAproFII__7_(Kvadraticke_formy).pdf 1166656 2021-06-29 21:47:52 LAproFII__8_(Kvadriky).pdf 3191011 2021-06-29 21:47:52 LAproFII__9_(Jordanuv_tvar).pdf 2825013 2021-06-29 21:40:40 TENSORY II.pdf 3809985 2021-06-29 18:37:28 Tensory I KOMPLET.pdf
Zkouškové a orientační písemky Šmíd 2021
| Size | Timestamp | Name |
| 106150 | 2021-06-01 15:12:28 | LAF_LS2021_orientacnitest1.pdf |
| 124035 | 2021-06-11 16:20:20 | LAF_LS2021_orientacnitest3.pdf |
| 113092 | 2021-06-30 00:02:54 | LAF_LS2021_orientacnitest4.pdf |
| 114996 | 2021-06-30 00:03:08 | LAF_LS2021_orientacnitest5.pdf |
| 123953 | 2021-06-30 00:03:22 | LAF_LS2021_orientacnitest6(1).pdf |
| 123953 | 2021-06-30 00:03:18 | LAF_LS2021_orientacnitest6.pdf |
| 132175 | 2021-07-13 11:05:42 | LAF_LS2021_orientacnitest7.pdf |
| 181081 | 2021-09-08 11:44:26 | LAF_LS2021_orientacnitest8.png |
| 90186 | 2021-06-01 15:12:36 | LAF_LS2021_zkouskovytest1.pdf |
| 67813 | 2021-06-11 16:20:20 | LAF_LS2021_zkouskovytest3.pdf |
| 106837 | 2021-06-30 00:02:50 | LAF_LS2021_zkouskovytest4.pdf |
| 100619 | 2021-06-30 00:03:04 | LAF_LS2021_zkouskovytest5.pdf |
| 86661 | 2021-06-30 00:03:16 | LAF_LS2021_zkouskovytest6.pdf |
| 70240 | 2021-07-13 12:21:44 | LAF_LS2021_zkouskovytest7.pdf |
| 92839 | 2021-09-12 15:43:34 | LAF_LS2021_zkouskovytest8.png |
Zkoušková písemka Šmíd 2020
Download NOFY142/zkouskove_pisemky_LS_2020.pdf.
Příklady (jiné zdroje)
🧮 Kalkulátory
📚 Knihy
Videa
Science Asylum - What the Heck Is a Tensor - grafické znázornění tensorů
Grafika
Myšlenková mapka, skalární součin
