NOFY152 Matematická analýza 1
Skriptá a materiály přednášejících
prof. Málek, ZS 2019
| Size | Timestamp | Name |
| 724814 | 2020-01-09 12:47:06 | Test1_reseni.pdf |
| 711257 | 2020-01-09 12:51:06 | Test2_reseni.pdf |
| 173472 | 2020-01-09 12:50:30 | Test_naoko.pdf |
| 313525 | 2020-01-09 12:50:42 | Test_naoko_reseni.pdf |
doktor D. Pokorný, ZS 2020
Zápočtové písemky Lukáše Krumpa 2020
| Size | Timestamp | Name |
| 21934 | 2021-06-04 15:55:38 | pís_1_MAF_2020zs_krump_0900.pdf |
| 28767 | 2021-06-04 15:56:36 | pís_1_MAF_2020zs_krump_0900_řešení.pdf |
| 22224 | 2021-06-04 15:55:38 | pís_1_MAF_2020zs_krump_1220.pdf |
| 28566 | 2021-06-04 15:56:38 | pís_1_MAF_2020zs_krump_1220_řešení.pdf |
| 22326 | 2021-06-04 15:55:48 | pís_2_MAF_2020zs_krump_0900.pdf |
| 40317 | 2021-06-04 15:56:38 | pís_2_MAF_2020zs_krump_0900_řešení.pdf |
| 21291 | 2021-06-04 15:55:50 | pís_2_MAF_2020zs_krump_1220.pdf |
| 40517 | 2021-06-04 15:56:38 | pís_2_MAF_2020zs_krump_1220_řešení.pdf |
| 24481 | 2021-06-04 15:55:50 | pís_3_MAF_2020zs_krump_0900.pdf |
| 51570 | 2021-06-04 15:56:38 | pís_3_MAF_2020zs_krump_0900_řešení.pdf |
| 25690 | 2021-06-04 15:55:50 | pís_3_MAF_2020zs_krump_1220.pdf |
| 52954 | 2021-06-04 15:56:38 | pís_3_MAF_2020zs_krump_1220_řešení.pdf |
prof. M. Pokorný, ZS 2018, ZS 2021
doc. D. Pražák, ZS 2022
Pomocné soubory
Tabuľky K. Kuncovej - rôzne tabuľky od limít až po učivo LS 2.ročníka.
| Size | Timestamp | Name |
| 699235 | 2020-10-10 16:28:44 | derivace a integrály.pdf |
| 55040 | 2020-10-01 17:11:18 | gon-vzorce.pdf |
| 216916 | 2019-11-04 19:29:28 | tabulka_derivaci.pdf |
| 111984 | 2019-11-04 19:29:24 | vety_derivace.pdf |
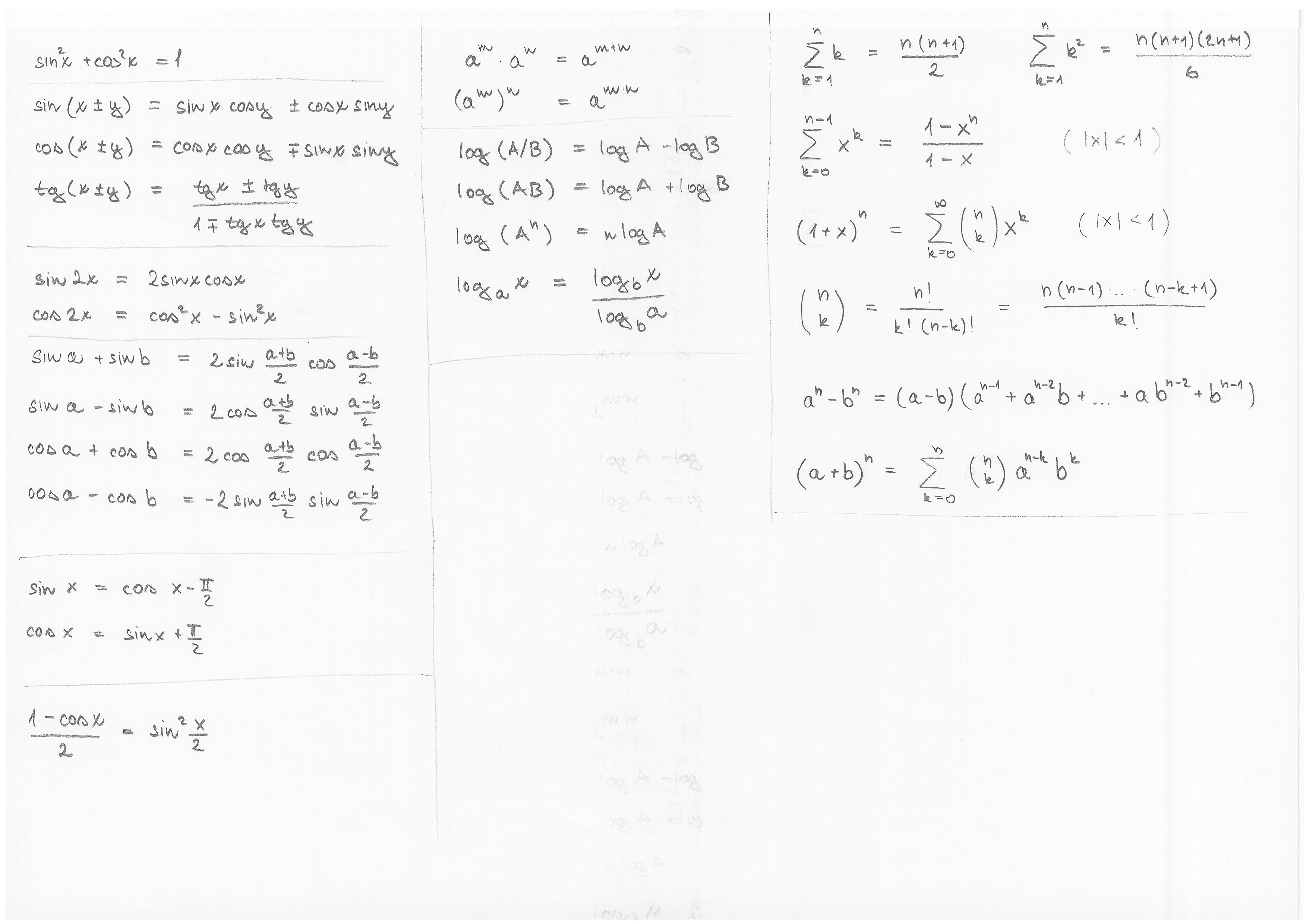
| 412841 | 2019-11-04 19:29:32 | vzorce.jpg |
Archívy cvičících
Skriptá a sbírky - jiné zdroje
Tabuľky a odkazy od K. Kuncovej - rôzne tabuľky od limít až po učivo LS 2.ročníka, tiež odkazy na zbierky, učebné texty a iné,
O. Moc: Sbírka úloh z matematiky (neurčitý a určitý integrál),
B. P. Demidovič: Sbírka úloh a cviční z matematické analýzy - veľa príkladov, často neriešené,
Učebnice, zbierky, animácie, výpočty z matematickej analýzy (MFF UK).
Anki kartičky
Download NOFY151/Anki-NOFY151.apkg.
Užitečné odkazy
Limita funkce - pekne graficky znázornená limita,
Isibalo: Limita a spojitost funkce - najjednoduchšie vysvetlená limita (opakovanie zo strednej školy),
Isibalo: Diferenciální počet (derivace) - najjednoduchšie vysvetlené derivácie (opakovanie zo strednej školy),
Isibalo: Integrální počet (integrace)- najjednoduchšie vysvetlené integrály (opakovanie zo strednej školy),
🧮 Kalkulátory
Integral calculator - integrálna kalkulačka s krokmi,
Derivative calculator - derivačná kalkulačka s krokmi.
Videa
3Blue1Brown: The essence of calculus - zoznam videí, názorne vysvetlené základy,